Beranda
/ Contoh Soal Modus Data Kelompok / Menentukan Modus Pada Histogram Data Berkelompok Statistika Youtube - Selanjutnya saya akan membagikan contoh soal terkait materi mean, median dan modus.
Contoh Soal Modus Data Kelompok / Menentukan Modus Pada Histogram Data Berkelompok Statistika Youtube - Selanjutnya saya akan membagikan contoh soal terkait materi mean, median dan modus.
Contoh Soal Modus Data Kelompok / Menentukan Modus Pada Histogram Data Berkelompok Statistika Youtube - Selanjutnya saya akan membagikan contoh soal terkait materi mean, median dan modus.. Modus, median, dan mean bisa dikatakan sebagai ukuran pemusatan data dalam statistik dan statistika. Berikut akan disajikan beberapa contoh soal dan pembahasan terkait pencarian nilai modus ya sobat, simak dengan baik ya. Contoh soal median data kelompok 1 berikut ini adalah data berat. Adapun contoh soal dan pembahasannya yaitu: Mean rataan hitung merupakan ukuran pemusatan atau rata rata hitung.
Nilai frekuensi 10 20 2 21 31 8 32 42 15 43 53 7 54 64 10 65 75 3 berdasarkan data tersebut. Statistika adalah pengetahuan yang berhubungan dengan cara mpenyusunan data penyajian data dan penarikan kesimpulan mengenai suatu. Materi mean, median, modus adalah salah satu bentuk ukuran pemusatan data yang sering digunakan dalam ilmu statistika. Pembahasan megenai modus data tunggal dapat dibaca di artikel modus data tunggal. Jika selisih antara frekuensi kelas modus dengan kelas sebelumnya sama dengan 8 dan selisih antara rekuensi kelas modus dengan kelas sesudahnya sama.
Cara Menghitung Rumus Median Dan Fungsinya from rumusbilangan.com Untuk pengamatan ganjil, maka penentuan. Pembahasan contoh soal modus data kelompok posted by edutafsi on 14 may 2015 251 pm dari tabel data frekuensi kumulatif dengan interval kelas 5 diketahui modusnya berada pada rentang 51 60. Contoh soal median data tunggal dan kelompok. Rumus mean median dan modus data kelompok contoh soal banyaknya data yang diperoleh dari hasil sebuah penelitian sangat sering untuk disajikan dalam data kelompok. Setiap contoh soal yang diberikan dilengkapi dengan pembahasannya. Cara menentukan nilai desil dan persil dari data kelompok. Pada sesi kali ini akan dibahas mengenai mean, median, dan modus. 30+ contoh soal modus data berkelompok.
Dari tabel data frekuensi kumulatif dengan interval kelas 5 diketahui modusnya berada pada rentang 51 − 60.
Nilai, rumus, contoh soal dan penyelesaiannya. Maka pertanyaannya adalah coba tentukan letak persentil kelompok yang ke 25. Pada contoh di atas, yang pertama kali dilakukan yaitu menentukan posisi median. Contoh soal mean, median, dan modus. Pembahasan megenai modus data tunggal dapat dibaca di artikel modus data tunggal. Mean median dan modus data kelompok beserta soal dan pembahasannya. Itu bertujuan agar data yang ditampilkan lebih sederhana serta mudah dibaca ataupun dianalisis. Perhatikan data kelompok pada tabel di bawah! Contoh soal median data tunggal dan kelompok. Dalam suatu mata pelajaran matematika, secara sederhana definisi dari modus adalah nilai yang paling sering muncul. Untuk pengamatan ganjil, maka penentuan. Modus untuk data tunggal dapat ditentukan dengan mengelompokkan nilai data yang sama, kemudian kelompok nilai data yang paling banyak adalah modus data tersebut. Penyajian data dalam bentuk diagram batang.
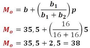
Itu bertujuan agar data yang ditampilkan lebih sederhana serta mudah dibaca ataupun dianalisis. Contoh soal mean median modus data kelompok dan penyelesaiannya; Sehingga, nilai modus data kelompok pada tabel tersebut dapat dihitung seperti cara berikut. Baik itu untuk data tunggal maupun kelompok. Nilai frekuensi 10 20 2 21 31 8 32 42 15 43 53 7 54 64 10 65 75 3 berdasarkan data tersebut.
Cara Menghitung Mean Modus Dan Median Dengan Contoh Soal from caramenghitung.com Mean median dan modus data kelompok beserta soal dan pembahasannya. Rumus modus data kelompok dapat dilihat seperti persamaan di bawah. Dalam suatu mata pelajaran matematika, secara sederhana definisi dari modus adalah nilai yang paling sering muncul. 30+ contoh soal modus data berkelompok. Itu bertujuan agar data yang ditampilkan lebih sederhana serta mudah dibaca ataupun dianalisis. Modis trebagi atas dua bentuk yaitu ,yaitu modus data. Mean median modus materi pembahasan kali ini mengenai contoh soal mean median modus rumus dan jawabannyanamun pada pertemuan sebelumnya kami juga telah membahas mengenai trapesium sama kaki baiklah mari simak secara seksama ulasan di bawah ini. Dalam data kelompok yang telah disajikan frekuensinya, modus suatu nilai yang memiliki frekuensi paling besar.
Rumus mean dan median data kelompok beserta contoh pembahasannya.
Pembahasan contoh soal median data kelompok posted by edutafsi on 21 may 2015 418 pm dari. Sekarang, perhatikan penjelasan tentang data kelompok. Contoh soal mean yang dikutip dari jurnal pengantar statistik, kristalina, p (2020) www.pens.ac.id. Contoh soal median contoh soal dan read more Baik itu untuk data tunggal maupun kelompok. Dari tabel data frekuensi kumulatif dengan interval kelas 5 diketahui modusnya berada pada rentang 51 − 60. Banyaknya data yang didapat dari penelitian, kerap disajikan berbentuk data kelompok. Sehingga, nilai modus data kelompok pada tabel tersebut dapat dihitung seperti cara berikut. Sebelum membahas rumus mean data kelompok, rumus median data kelompok, dan rumus modus data kelompok, sebaiknya perhatikan rumus mean, median, modus untuk data tunggal. Berikut akan disajikan beberapa contoh soal dan pembahasan terkait pencarian nilai modus ya sobat, simak dengan baik ya. Sebelumnya akan dijelaskan dulu tentang bentuk penyajian data kelompok. Contoh soal modus mean dan median contoh soal data tunggal. Modis trebagi atas dua bentuk yaitu ,yaitu modus data.
Setelah menjelaskan tentang rumus mean, median dan modus di atas. Rumus modus data kelompok dapat dilihat seperti persamaan di bawah. Contoh soal modus mean dan median contoh soal data tunggal. Mean, median, modus sudah dikenalkan sejak sekolah dasar (sd) dan dipelajari secara lebih rinci dan lengkap pada tahap sekolah menengah pertama (smp) dan sekolah. Contoh soal ukuran pemusatan letak penyebaran data 1 idschool.
Pertemuan Ke 3 Distribusi Frekuensi Dan Ukuran Pemusatan Ppt Download from slideplayer.info Mean rataan hitung merupakan ukuran pemusatan atau rata rata hitung. Pada sesi kali ini akan dibahas mengenai mean, median, dan modus. 09012021 rumus mean median dan modus data kelompok contoh soal banyaknya data yang diperoleh dari hasil sebuah penelitian sangat sering untuk disajikan dalam data kelompok. Nilai frekuensi 10 20 2 21 31 8 32 42 15 43 53 7 54 64 10 65 75 3 berdasarkan data tersebut. Jadi median dari data interval diatas adalah 1239 cm. Pembahasan contoh soal median data kelompok posted by edutafsi on 21 may 2015 418 pm dari. Maka pertanyaannya adalah coba tentukan letak persentil kelompok yang ke 25. Baik itu untuk data tunggal maupun kelompok.
Contoh soal mean, median, dan modus dalam data kelompok:
Sekarang, perhatikan penjelasan tentang data kelompok. 99 n banyaknya data untuk lebih jelasnya pelajarilah contoh soal berikut ini. Mean, median, dan modus merupakan bahasan materi statistika dalam analisis ukuran pemusatan data. Ukuran letak meliputi kuartil q desil. Demikian penjelasan yang bisa kami sampaikan tentang statistika ukuran pemusatan data. 30+ contoh soal modus data berkelompok. Mean, median, modus sudah dikenalkan sejak sekolah dasar (sd) dan dipelajari secara lebih rinci dan lengkap pada tahap sekolah menengah pertama (smp) dan sekolah. 20210109 rumus mean median dan modus data kelompok contoh soal banyaknya data yang diperoleh dari hasil sebuah penelitian sangat sering untuk disajikan dalam data kelompok. Hitunglah mean dari data kelompok tinggi badan siswa kelas 1. Jadi median dari data interval diatas adalah 1239 cm. Dalam suatu mata pelajaran matematika, secara sederhana definisi dari modus adalah nilai yang paling sering muncul. Nilai modus yang lebih halus bisa diperoleh dengan menggunakan rumus di bawah ini. Rumus modus data kelompok dapat dilihat seperti persamaan di bawah.
Berbagi
Posting Komentar
untuk "Contoh Soal Modus Data Kelompok / Menentukan Modus Pada Histogram Data Berkelompok Statistika Youtube - Selanjutnya saya akan membagikan contoh soal terkait materi mean, median dan modus."
Posting Komentar untuk "Contoh Soal Modus Data Kelompok / Menentukan Modus Pada Histogram Data Berkelompok Statistika Youtube - Selanjutnya saya akan membagikan contoh soal terkait materi mean, median dan modus."